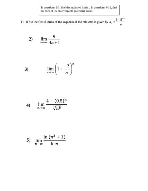
Limit Worksheets

Limit Worksheets. To begin with, we will look at two geometric progressions: Limits are very important in maths, but more speci cally in calculus.

️Calculus Limits And Continuity Worksheets Free Download Gmbar.co
️Calculus Limits And Continuity Worksheets Free Download Gmbar.co from gmbar.co

In this article, find all workbook, worksheet, and feature specifications and limits. We will now take a closer look at limits and, in particular, the limits of functions. *click on open button to open and print to worksheet.

Free Printable Worksheets For Cbse Class 11 Mathematics Limits And Derivatives, School And Class Assignments, And Practice Test Papers Have Been Designed By Our Highly.


0 ratings 0% found this document useful (0 votes) Limits at jump discontinuities and kinks; *click on open button to open and print to worksheet.

Limits From Tables And Graphs.


Limits | ap calculus ab ilearnmath.net 6) find the limit: Determine the limit as 𝑥 → 2 of the function represented by the graph. By default, excel has a limit of 1,048,576 rows, which is often more than enough for most users.however, in some cases, users may need to limit the number of rows and columns in a worksheet to make it more manageable or to meet specific requirements.

Scribd Is The World's Largest Social Reading And Publishing Site.


In this article, find all workbook, worksheet, and feature specifications and limits. Web in this worksheet, we will practice using limit notation and exploring the concept of a limit. Lim 𝑥−9 𝑥2−81 first, attempt to evaluate the limit using direct substitution.

If Graph Shown Represents The Function 𝑓 ( 𝑥) = 𝑥 − 3, Determine L I M → 𝑓 ( 𝑥).


Worksheets are 201 103 re, evaluating limits work, evaluating limits date period, evaluating limits date period, u 3 e u, limit of a function, 11 limits and an introduction to calculus, work 3 7 continuity and limits. Estimate l i m → 𝑓. Substitute 0 into the limit for 𝑥.

Worksheets Referred To By A Chart.


Data series in one chart. We will now take a closer look at limits and, in particular, the limits of functions. First, attempt to evaluate the limit using direct substitution.