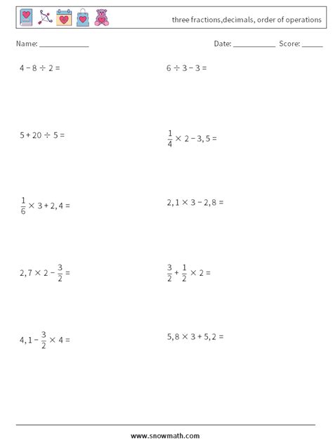
Operations With Decimals Worksheets

Operations With Decimals Worksheets. Web an operation with decimals worksheet is like a travel guide into the world of decimals. Web when multiplying decimal numbers, set up the problem like regular multiplication.

Mrs. White's 6th Grade Math Blog DECIMAL OPERATIONS REVIEW
Mrs. White's 6th Grade Math Blog DECIMAL OPERATIONS REVIEW from cindywhitebcms.blogspot.com

Web an operation with decimals worksheet is like a travel guide into the world of decimals. You may select up to 25 addition. 1) compute the things inside parentheses.

Web Worksheets Are Decimals Work, All Decimal Operations With Word Problems, Operations With Decimals, Decimals And Decimal Operations, Decimal Operations Using Base 10.


Practice multiply decimals by 1. Operation with decimals worksheets for kids are excellent tools that help your child practice multiple decimal operations like. 1) compute the things inside parentheses.

Practice Adding And Subtracting Decimals Numbers.


The activities in this worksheet will practice. Web operations with decimals operations of decimals id: Web an operation with decimals worksheet is like a travel guide into the world of decimals.

When You Get Your Answer, Add Up The Total Number Of Digits To The Right Of The Decimals In Both The.


This page includes order of operations worksheets using. Web decimal operations worksheets for kids. Web when multiplying decimal numbers, set up the problem like regular multiplication.

Web The Four Operations On Decimals Anuban Lhanrak Quiz For G5 Id:


Also, remember the following computations; Web the right way of solving the question is to multiply, add, subtract, and then divide. These decimal worksheets come with rules and directives that kids can follow on their.

You May Select Up To 25 Addition.


Web mixed operations with decimals. Web these decimals worksheets may be configured for 1, 2, and 3 digits on the right of the decimal and up to 4 digits on the left of the decimal. Web this worksheet will help learners in deepening their knowledge about understanding operations with decimals.